
Vr radial slices

Vr latitudinal slices

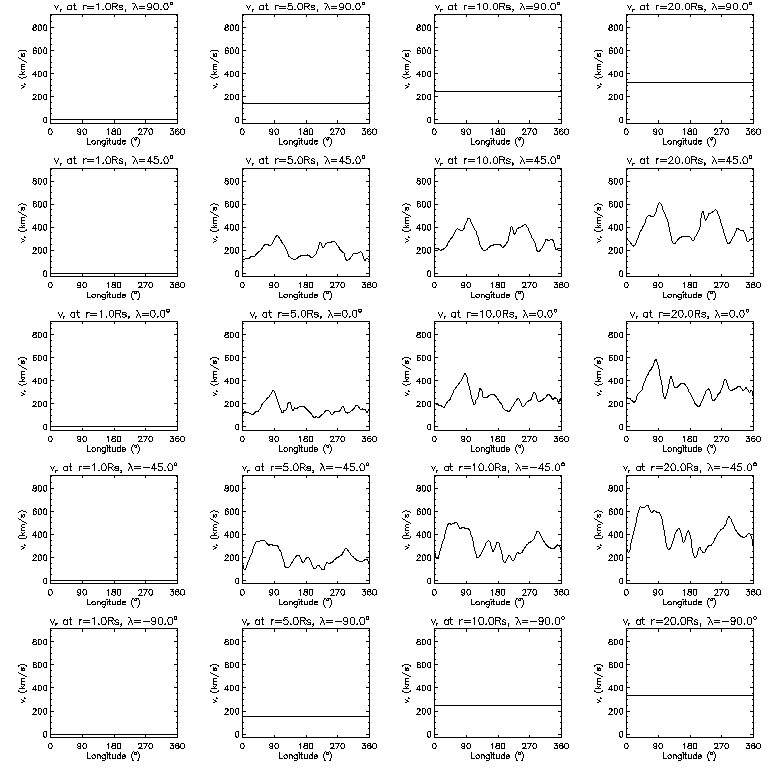
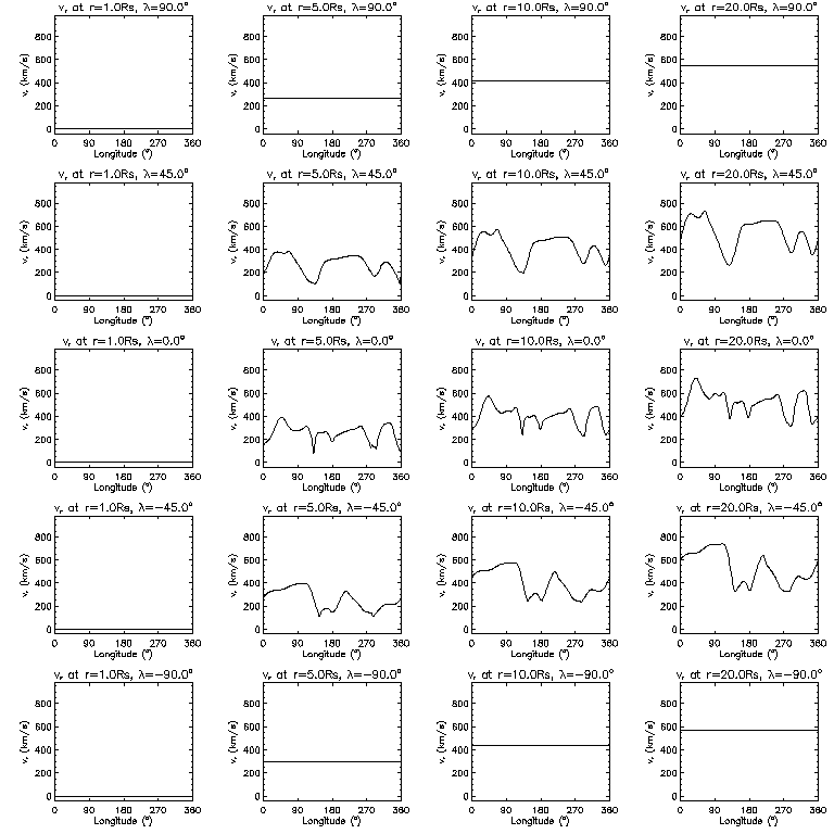
Vr longitudinal slices

Br spherical plane 1.0Rs

Np spherical plane 1.0Rs

Vr spherical plane 1.0Rs

Br spherical plane 2.5Rs

Np spherical plane 2.5Rs

Vr spherical plane 2.5Rs

Br spherical plane 5.0Rs

Np spherical plane 5.0Rs

Vr spherical plane 5.0Rs

Br spherical plane 10.0Rs

Np spherical plane 10.0Rs

Vr spherical plane 10.0Rs

Br spherical plane 20.0Rs

Np spherical plane 20.0Rs

Vr spherical plane 20.0Rs

Br spherical plane 30.0Rs

Np spherical plane 30.0Rs

Vr spherical plane 30.0Rs

Va spherical plane 1.1Rs

Va spherical plane 1.5Rs

Va spherical plane 2.0Rs

Va spherical plane 2.5Rs

Va spherical plane 3.0Rs

Va spherical plane 5.0Rs

Br meridional plane 0.0°

Np meridional plane 0.0°

Vr meridional plane 0.0°

Va meridional plane 0.0°

Br meridional plane 90.0°

Np meridional plane 90.0°

Vr meridional plane 90.0°

Va meridional plane 90.0°

Br meridional plane 180.0°

Np meridional plane 180.0°

Vr meridional plane 180.0°

Va meridional plane 180.0°

Br meridional plane 270.0°

Np meridional plane 270.0°

Vr meridional plane 270.0°

Va meridional plane 270.0°

Br equatorial plane 0.0°

Np equatorial plane 0.0°

Vr equatorial plane 0.0°

Va equatorial plane 0.0°