Vr spherical plane 30.0Rs
Va spherical plane 1.1Rs
Va spherical plane 1.5Rs
Va spherical plane 2.0Rs
Va spherical plane 2.5Rs
Va spherical plane 3.0Rs
Va spherical plane 5.0Rs
Br meridional plane 0.0°
Np meridional plane 0.0°
Vr meridional plane 0.0°
Va meridional plane 0.0°
Br meridional plane 90.0°
Np meridional plane 90.0°
Vr meridional plane 90.0°
Va meridional plane 90.0°
Br meridional plane 180.0°
Np meridional plane 180.0°
Vr meridional plane 180.0°
Va meridional plane 180.0°
Br meridional plane 270.0°
Np meridional plane 270.0°
Vr meridional plane 270.0°
Va meridional plane 270.0°
Br equatorial plane 0.0°
Np equatorial plane 0.0°
Vr equatorial plane 0.0°
Va equatorial plane 0.0°
Vr spherical plane 5.0Rs
Br spherical plane 10.0Rs
Np spherical plane 10.0Rs
Vr spherical plane 10.0Rs
Br spherical plane 20.0Rs
Np spherical plane 20.0Rs
Vr spherical plane 20.0Rs
Br spherical plane 30.0Rs
Np spherical plane 30.0Rs
Vr radial slices
Vr latitudinal slices
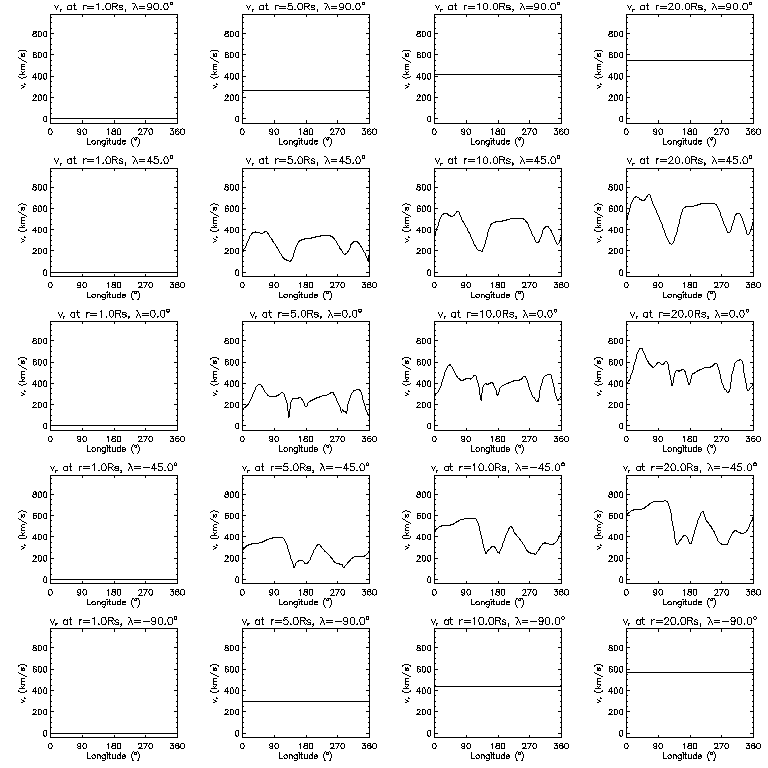
Vr longitudinal slices
Br spherical plane 1.0Rs
Np spherical plane 1.0Rs
Vr spherical plane 1.0Rs
Br spherical plane 2.5Rs
Np spherical plane 2.5Rs
Vr spherical plane 2.5Rs
Br spherical plane 5.0Rs
Np spherical plane 5.0Rs